wbrum.org
HOME
About
Contact
Disclaimer
Privacy
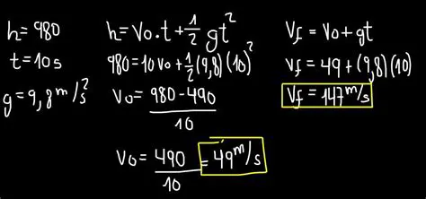
Velocidad al cabo de los 10 segundos
Oct 13, 2025
by wbrum.org
103
views