wbrum.org
HOME
About
Contact
Disclaimer
Privacy
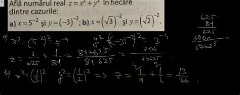
VAA ROGGG IMI TREBUIE REPEDE si DAU COROANA CU PUNCTE
Oct 13, 2025
by wbrum.org
36
views