wbrum.org
HOME
About
Contact
Disclaimer
Privacy
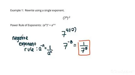
Using the Power of a Power Rule
Oct 13, 2025
by wbrum.org
100
views