wbrum.org
HOME
About
Contact
Disclaimer
Privacy
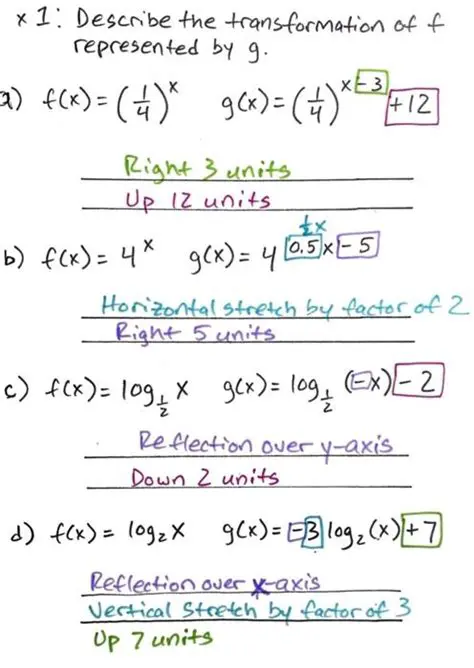
Understanding the Transformation of f Represented by g
Oct 13, 2025
by wbrum.org
54
views