wbrum.org
HOME
About
Contact
Disclaimer
Privacy
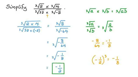
Simplifying Expressions with Multiple Cube Roots
Oct 13, 2025
by wbrum.org
16
views