wbrum.org
HOME
About
Contact
Disclaimer
Privacy
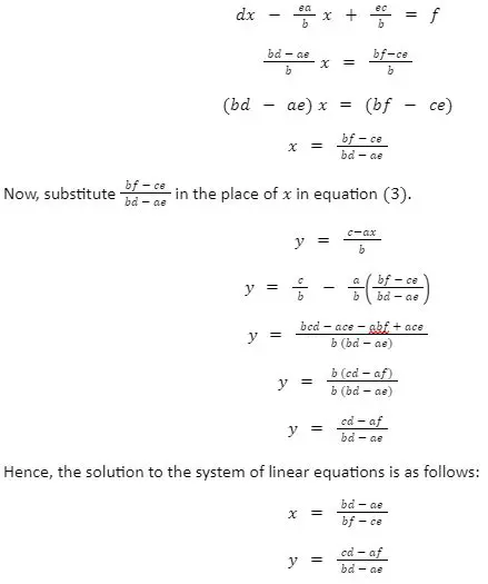
Proof of System of Equations B
Oct 13, 2025
by wbrum.org
54
views