wbrum.org
HOME
About
Contact
Disclaimer
Privacy
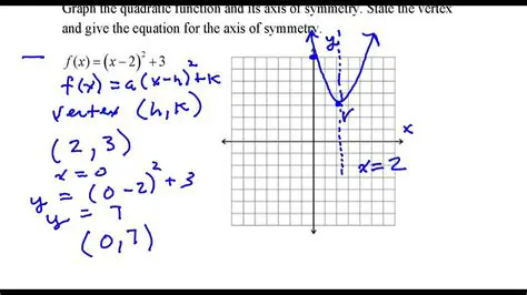
Finding the Axis of Symmetry for a Quadratic Function
Oct 13, 2025
by wbrum.org
31
views