wbrum.org
HOME
About
Contact
Disclaimer
Privacy
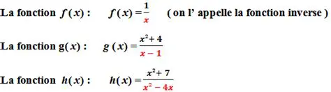
Exemples de Fonctions Rationnelles
Oct 13, 2025
by wbrum.org
10
views