wbrum.org
HOME
About
Contact
Disclaimer
Privacy
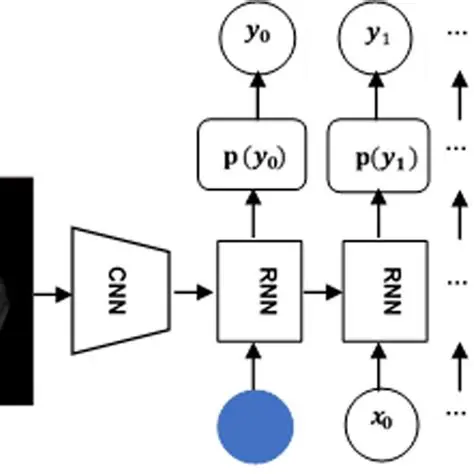
Diagnostic report generation
Oct 13, 2025
by wbrum.org
58
views