wbrum.org
HOME
About
Contact
Disclaimer
Privacy
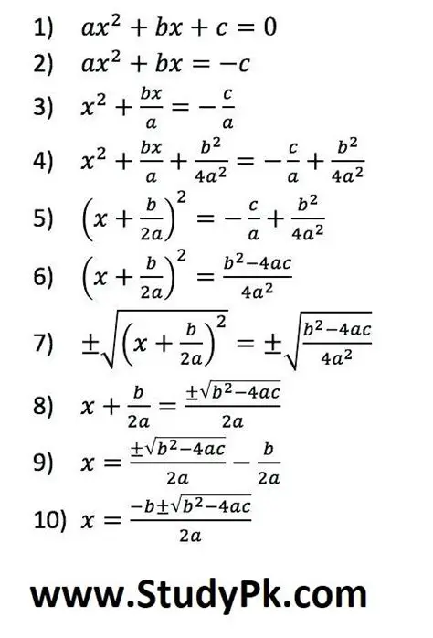
Deriving the Quadratic Formula by Completing the Square
Oct 13, 2025
by wbrum.org
10
views