wbrum.org
HOME
About
Contact
Disclaimer
Privacy
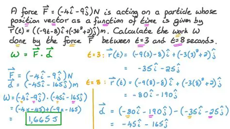
Calculating the Vector Expression
Oct 13, 2025
by wbrum.org
34
views