wbrum.org
HOME
About
Contact
Disclaimer
Privacy
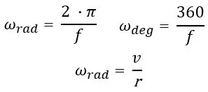
Calculating Rotational Velocity
Oct 13, 2025
by wbrum.org
90
views