wbrum.org
HOME
About
Contact
Disclaimer
Privacy
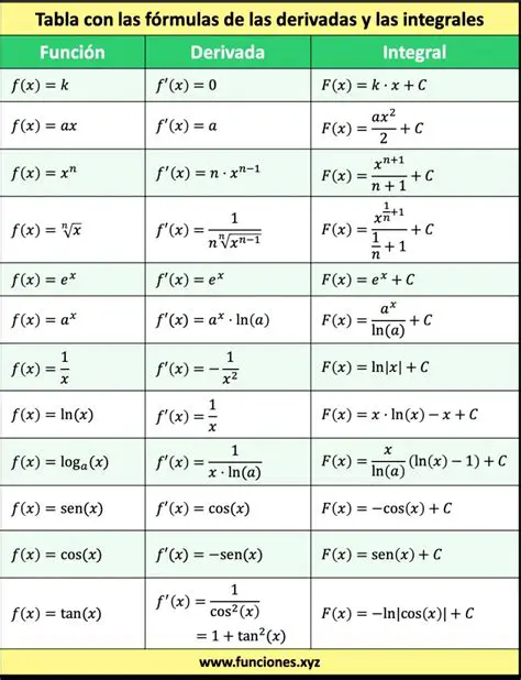
Calcular derivadas y integrales
Oct 13, 2025
by wbrum.org
53
views