wbrum.org
HOME
About
Contact
Disclaimer
Privacy
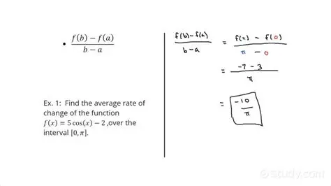
Average Rate of Change of a Function over a Given Interval
Oct 13, 2025
by wbrum.org
65
views